Chart Studies

Chart Studies use a stock's price movements, volume, and other historical information to attempt to find patterns that may indicate shifting price trends.

By learning what a particular study may be indicating and then applying that study to your charts, you may be able to identify trading opportunities, points of support or resistance at certain price thresholds, price trends, and more.

Add Studies to a chart from the Tools > Studies menu.

Options carry a high level of risk and are not suitable for all investors. Certain requirements must be met to trade options through Schwab. Multiple leg options strategies will involve multiple commissions. Please read the options disclosure document titled "Characteristics and Risks of Standardized Options." Member SIPC

StreetSmart Pro® software allows you to incorporate studies into your charts for technical analysis. Studies can:

Choose from the following default study parameters:
 

Study Name Description

Adaptive RSI

Adapts the standard RSI to a smoothing constant. Default of 14 periods (minutes, hours, days, etc.) can be changed.
For calculation purposes, Adaptive RSI is somewhat similar to an exponential moving average, but instead of averaging prior values using a fixed percentage, it uses a variable percentage based on the RSI. The formula is

for t < n

 

for t >= n

where  and n is the RSI period (i.e. an n-period RSI).

Average DM (ADX)

Average Directional Movement is an oscillator that fluctuates between 0 and 100, readings above 60 are relatively rare. Its values are interrelated with +DI, -DI and DX.*

Average True Range

Measures a security's volatility by averaging the True Range over a period of time you specify when setting up the study. True Range is the greatest of the following:

  • The current high minus the current low.
  • The absolute value of the current high less the previous close.
  • The absolute value of the current low less the previous close.

Default of 14 periods can be changed.

 

The ATR formula is an exponential average of the true range. True range takes into account any gap up or down from the previous day as well as the high and low for the current day. The formula is

where TR is the largest of the absolute values of | High-Low |, | High-Yesterdays Close |, and | Yesterdays Close-Low |.

Bollinger Bands®

The top and bottom lines are placed n-standard deviations above and below the center line*. Since standard deviations are a measure of volatility, the bands widen during volatile price action and contract when the trading range tightens. You can change the variables used in the calculation from the defaults of period=20 and n=2 standard deviations above and below.

*The center line is not included when applying a Bollinger Bands study. To get a center line, add a Moving Average - Simple study for the same number of periods (default=20) to the chart.

Rather than two bands that are always an equal percentage away from the central average, Bollinger Bands expand and contract based on the standard deviation of the historical volatility of the price action. The formulas for the upper and lower bands are

where m is the number of standard deviations and the formula for is

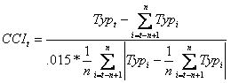
CCI

The Commodity Channel Index ("CCI") measures the variation of a security's price from its statistical mean. High values show that prices are unusually high compared to average prices whereas low values indicate that prices are unusually low. Contrary to its name, the CCI can be used effectively on any type of security, not just commodities. The formula is

 

where
 

 

Directional Movement (DX)

The Directional Movement study indicates the strength of a trend, independent of whether that trend is up or down. The study combines several components: +DI measures upward moves, -DI measures downward moves, DX combines +DI and -DI, and ADX is a smoothed version of DX.*

DM(+DI) Positive

The basic Directional Movement trading system involves comparing the 14-day +DI ("Directional Indicator") and the 14-day -DI. This can be done by plotting the two indicators on top of each other or by subtracting the +DI from the -DI. The study indicates buying when the +DI rises above the -DI and selling when the +DI falls below the -DI. You can change the periods used in the calculation from the default of 14.*

DM(-DI) - Negative

The basic Directional Movement trading system involves comparing the 14-day +DI ("Directional Indicator") and the 14-day -DI. This can be done by plotting the two indicators on top of each other or by subtracting the +DI from the -DI. The study indicates buying when the +DI rises above the -DI and selling when the +DI falls below the -DI. You can change the periods used in the calculation from the default of 14.*

Envelope

Employing an Envelope is similar to Bollinger Bands®, except equidistant from the center average, in that the Envelope helps define the upper and lower boundaries of a security's normal trading range. When the security reaches the upper band, this may indicate a sell opportunity, whereas the security reaching the lower band may indicate a buy opportunity. Default of 20 periods with Upper and Lower % default of 6 can be changed. The formulas for the upper and lower envelopes are

where F is a factor such as 6% (i.e. 0.06 for the formulas above).

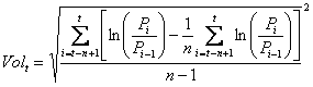
Historical Volatility

Reflects how far an equity's price has deviated from its average price over the number of periods you specify. This study only applies to Daily, Weekly, and Monthly charts. Default of 20 periods can be changed.

 

Historical volatility is calculated:

Implied Volatility

The theoretical value (in %) designed to represent the forecasted volatility of the security or index as determined by the prices of multiple call and put options using the Black-Scholes pricing model.
Choose to view the Average of Puts & Calls (Avg), Average of Puts (Puts), or Average of Calls (Calls). Also, choose whether to view actual implied volatility (IV Actual) or a simple moving average of implied volatility (IV SMA). Default period for the IV SMA is 20.

*Implied Volatility studies are only available on daily, weekly, and monthly charts for optionable securities. Implied Volatility values are computed using the Black-Scholes model and may not be available on all underlying securities. The Schwab Avg – Implied Volatility, Call - Implied Volatility, and Put - Implied Volatility, while based on the Robert E. Whaley calculation, are derived using methods that may differ from those used by other data providers.

AVG: The formula used in calculating this value is:

2 in-the-money calls (nearest to the current underlying price) +
2 in-the-money puts (nearest to the current underlying price) for the two nearest expirations +
2 out-of-the-money calls (nearest to the current underlying price) +
2 out-of-the-money puts (nearest to the current underlying price) for the 2 nearest expirations /16

Calls or Puts: The formula used in calculating this value is:

2 in-the-money calls/puts (nearest to the current underlying price) for the two nearest expirations +
2 out of the money calls/puts (nearest to the current underlying price) for the two nearest expirations /8

Keltner Channels

Keltner Channels consist of two bands that are not equidistant from the SMA.

Rather than two bands that are always an equal percentage away from the SMA, Keltner Channels expand and contract based on a moving average of the True Range (TR).  The formulas for the upper and lower bands are

where F is a factor, , and

Last Close (Intraday)

When selected with an intraday chart, a line will display indicating the prior day's close price.

Stock symbols and price and volume data shown here and in the software are for illustrative purposes only. Charles Schwab & Co., its parent or affiliates, and/or its employees and/or directors may have positions in securities referenced herein, and may, as principal or agent, buy from or sell to clients.

Moving Average Conv/Divergence (MACD)

A trend-following momentum indicator using 3 exponential moving averages: a short or fast average, a long or slow average, and an exponential average of their difference (the last used as a signal or trigger line). You can change the periods used in the calculation from the defaults of 12 and 26. Used with Signal Line below.

MACD Histogram

A variation of the MACD that plots the difference between the Signal Line and MACD. Changes in the spread between these two lines may be spotted faster, potentially leading to earlier trading signals. You can change the periods used in the calculation from the defaults of 12, 26, and 9.

Momentum

Measures the amount the price of a security has changed over the last 14 days. If the current trading session today hasn't closed yet, it uses the last sale price. You can change the periods used in the calculation from the default of 14.

The formula for an n-period Momentum is

Money Flow

Money Flow keeps a running total of the money flowing into and out of a security. The direction of the Money Flow line is the important component to watch, not the actual dollar amount. This indicator can be used to confirm underlying strength or weakness of a price trend.

 

The formula for an n-period Money Flow is

Money Flow Percent

Money Flow Percent normalizes the Money Flow calculation above by dividing by the cumulative volume for the period.

You can change the periods used in the calculation from the default of 14.

 

The formula for an n-period Money Flow Percent is

Moving Average Exponential (EMA)

While similar to the SMA, the exponential moving average uses a "smoothing factor" to give more weight to recent prices, while allowing all prices in the window to influence the average. The default of 20 periods can be changed.

 

The EMA formula is an inductive formula; that is, the value at time t is based on the value at time t-1 and a current amount. The formula is

where Price is set to the Average variable you select when you set up the study. F (Factor) can theoretically be any value between 0 and 1 but is generally related to an n-period SMA by the formula

 

Moving Average Simple (SMA)

The average of the last 8-periods close values including current day. If current trading session hasn't closed yet, the last sale price is used. The default of 8 periods can be changed.

The formula for an n-period SMA is

Moving Average - Geometric (GMA)

A moving average weighted on the price movement relative to the stock price, so that a $1 increase in a $5 stock is represented on the chart as a much greater move than a $1 increase in a $75 stock.

The formula for an n-period GMA is where Price is set to the Average variable you select when you set up the study.

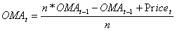
Moving Average - Smoothed (OMA)

An exponential moving average with a longer period used to determine the average, as older prices are never removed from the calculation but are given less weight. Best used in trending markets.

 

The initial value of an n-day OMA is the same as the initial value of an n-period SMA indicator. Subsequent values are determined using an inductive formula, in the manner of the EMA described above.

The formula for the initial value of OMA is

 

The formula for subsequent values is

On Balance Volume (OBV)

This indicator relates volume to price changes by adding volume to a running total when the price closes up for a period, then subtracts the volume if the stock closes down for a period. You can overlay the study on or underneath the price chart.

 

The formula is

where if  

                             and if  

Parabolic SAR

The Parabolic SAR (stop and reverse) is a trend-following indicator that may help establish stop loss parameters, as well as signaling opportune times to buy or sell a stock. Because it's a trend-following indicator, it tends to be less useful in a sideways market and more useful in a strongly trending market.

A line above the price may indicate a bearish trend, and a line below the price may point to a bullish stock.

 

The formula is

SARTomorrow = SARToday + AF (EPTrade – SARToday)

where AF (Acceleration Factor) is one of a progression of numbers beginning at .02 and ending at .20. The AF is increased by .02 each day that a new high is made. You can change these values by editing the Minimum Step and Maximum Step fields when setting up the study on your chart.

And EPTrade = Extreme Price Point of the trade made so far. If you choose Long from the Position drop-down, EP is the extreme high price for the trade; if Short, EP is the extreme low price for the trade.

Pivot Points (Intraday)

Uses the previous day high, low, and close price to generate a pivot line, two support levels (S1 & S2), and two resistance levels (R1 & R2). This study is only displayed on Intraday charts. In the Studies window, you may check the lines you wish to view: R2, R1, Pivot, S1, S2

NOTE:  Pivot Point lines may not be visible depending on the price scale you have set in Settings > General, and the price discrepancy between the previous and the current trading day.

 

Pivot Points are calculated:

 

Pivot = ( YesterdaysHigh + YesterdaysLow + YesterdaysClose ) / 3.0;

S1 = 2.0 * Pivot - YesterdaysHigh;

R1 = 2.0 * Pivot - YesterdaysLow;

S2 = Pivot - ( R1 - S1 );

R2 = Pivot + ( R1 - S1 );

 

Price Relative (to Symbol)

Compares the performance of the symbol currently loaded in the chart to the symbol specified in the studies settings window.

Put/Call Ratio - Open Interest

Shows the number of puts divided by the number of calls based on open interest for individual stocks or indices. The ratio is often used as a contrary market indicator, which means that a high ratio may be a bullish indicator and a low ratio is often interpreted as a bearish indicator.

The put/call ratio study can display the Actual value, where each individual data point represents the raw put/call data, or the SMA (simple moving average – the average of the raw data over the selected time period) of the study.

Available for daily, weekly and monthly charts for optionable securities.

Rate of Change

Change in price between the current price and the close 5 periods ago, divided by the price 5 periods ago. You can change the number of periods used in the calculation, and you can overlay the study on or underneath the price chart.

The formula for an n-period Rate of Change is

100*()

Relative Strength Index

Indicates the degree of positive and negative movement by the stock on a scale of 0 (weakest) to 100 (strongest). Determined by figuring the ratio of the average up closes for the last 14 days (using today's current price for the 15th day) divided by the sum of the average up closes and the average down closes for the same period. This ratio is multiplied by 100. You can change the number of periods used in the calculation from the default of 15, and you can overlay the study on or underneath the price chart.

 

The initial value of an n-period RSI is based on the price action for the first n periods. Subsequent values are determined using an inductive formula, analogous to the EMA formula described earlier.

The formula for the initial value of RSI is

 

where for all

and for all

 

Subsequent values of RSI are determined using the formula

where

and

 

where if >0 and 0 otherwise,

and if <0, 0 otherwise

Signal Line

Used with MACD. You can change the periods used in the calculation from the defaults of 12, 26 and 9.

Stochastic - %D

Part of the stochastic indicator along with %K. Shows the degree of smoothing, or moving average period, of %K. You can change the periods used in the calculation from the default of 14 periods and 3 periods.

For calculation purposes, %D is an SMA of %K below.

Stochastic - %D Slow

Similar in principle to %D, %D Slow represents a slower, less volatile indicator that simply adds an additional degree of smoothing, or moving average period, to the original %D. You can change the period used in the calculation from the default of 14 periods, 3 periods, and 3 periods.

For calculation purposes, %D Slow is an SMA of %D above.

Stochastic - %K

Part of the stochastic indicator along with %D. Shows the price level of a stock in relation to its price range over a given period. You can change the period used in the calculation from the default of 14 periods.

The formula for an n-period %K is

Stochastic RSI

Plots the Stochastic %D line of the RSI (Relative Strength Index) to represent the level of the RSI indicator relative to its range over the number of periods you specify. Default of 14 Stochastic and RSI periods, as well as the default Slowing Factor of 1 can be changed.

You can also check the Ten Grid Lines box to display lines from 0.1 to 0.9 instead of two lines at .25 and .75.

The formula for an m-period stochastic of an n-period RSI is

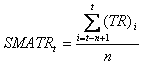
Volume/
Volume SMA

Simply the number of shares (or contracts) traded during a specified time frame (e.g., hour, day, week, month, etc).

You may also choose the Show SMA feature, which will show a simple moving average line in the Volume study. The image below shows the Volume study with a 20 period SMA overlayed.

Stock symbols and price and volume data shown here and in the software are for illustrative purposes only. Charles Schwab & Co., its parent or affiliates, and/or its employees and/or directors may have positions in securities referenced herein, and may, as principal or agent, buy from or sell to clients.

Williams % R

A momentum indicator that measures overbought and oversold levels. The interpretation of Williams %R is very similar to that of the %K stochastic indicator. The oversold indications are in the range of -80 to -100, while the overbought indications are in the range of -20 to 0. You can change the periods used in the calculation from the default of 12.

For calculation purposes, %R is simply %K - 100.

 

*Directional Movement is a trend-following system that consists of +DI, - DI, DX, and ADX. These values are interrelated as shown below.

 if the denominator > 0; 0 otherwise

and  

 

where,

where  
 

 is  if > 0; 0 otherwise.  is  if > 0; 0 otherwise.  If both are > 0, the smaller is set to 0.

F (Factor) is related to an n-day SMA by the formula.

 

Right-Click Shortcut to Add a Study or Trend Line

  1. Right-click in the chart.
  2. Go to Tools and select Studies or Trend lines and select New or Delete.

 

Copyright ©Charles Schwab & Co., Inc. 2013. All rights reserved. Member SIPC. (0312-2067)